基本信息:
中文名称 (4-氯苯氧基)-乙酸肼
中文别名 2-(2-氟苯基)-1H-咪唑-5-基]甲醇;2 - (2-氟苯基)-1H -咪唑-5-基]甲醇;
英文名称 2-(4-chlorophenoxy)acetohydrazide
英文别名 4-Chlorophenoxyacetylhydrazine;4-chlorophenoxyacetic hydrazide;chlorophenoxyacetohydrazide;
CAS号 2381-75-1
合成路线:
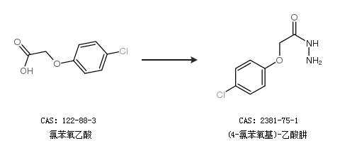
1.通过氯苯氧乙酸合成(4-氯苯氧基)-乙酸肼

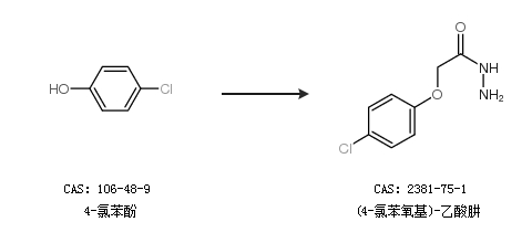
2.通过4-氯苯酚合成(4-氯苯氧基)-乙酸肼

中华试剂网提醒:合成路线仅供参考