基本信息:
中文名称 (4-甲基-1,3-噻唑-2-基)乙腈
英文名称 2-(4-methyl-1,3-thiazol-2-yl)acetonitrile
英文别名 4-methylthiazol-2-ylacetonitrile;2-(4-Methyl-1,3-thiazol-2-yl)acetonitrile;2-thiazoleacetonitrile,4-methyl;4-methyl-2-cyanomethylthiazole;4-Methyl-2-Thiazoleacetonitrile;4-methyl-2-thiazolylacetonitrile;2-cyanomethyl-4-methylthiazole;
CAS号 19785-39-8
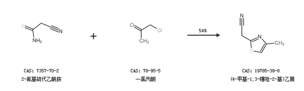
合成路线:
1.通过2-氰基硫代乙酰胺和一氯丙酮合成(4-甲基-1,3-噻唑-2-基)乙腈,收率约54%;

2.通过2-(氯甲基)-4-甲基噻唑和氰化钠合成(4-甲基-1,3-噻唑-2-基)乙腈

中华试剂网提醒:合成路线仅供参考