基本信息:
中文名称 (4S,5R)-2,2-二甲基-4-苯基-3-叔丁氧基羰基-3,5-氧氮杂环戊烷甲酸
中文别名 多稀紫杉醇 侧链;(4S,5R)-N-叔丁氧羰基-2,2-二甲基-4-苯基-5-羧基―1,3-氧氮杂环戊烷;(4S,5R)-3-叔丁氧羰基-2,2-二甲基-4-苯基恶唑烷-5-酸;
英文名称 (4S,5R)-3-(tert-Butoxycarbonyl)-2,2-dimethyl-4-phenyloxazolidine-5-carboxylic Acid
英文别名 (4S,5R)-3-(tert-Butoxycarbonyl)-2,2-dimethyl-4-phenyloxazolidine-5-carboxylic acid;(4S,5R)-2,2-dimethyl-3-[(2-methylpropan-2-yl)oxycarbonyl]-4-phenyl-1,3-oxazolidine-5-carboxylic acid;
CAS号 143527-70-2
合成路线:
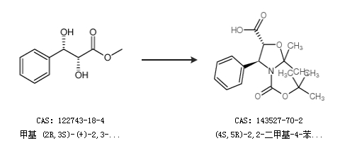
1.通过甲基 (2R,3S)-(+)-2,3-二羟基-3-苯基丙酸盐合成(4S,5R)-2,2-二甲基-4-苯基-3-叔丁氧基羰基-3,5-氧氮杂环戊烷甲酸

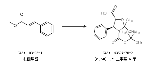
2.通过桂酸甲酯合成(4S,5R)-2,2-二甲基-4-苯基-3-叔丁氧基羰基-3,5-氧氮杂环戊烷甲酸

中华试剂网提醒:合成路线仅供参考