基本信息:
中文名称 (2S,5R)-N-叔丁氧羰基-5-苯基吡咯烷-2-甲酸
中文别名 (2S,5R)-5-苯基-1,2-吡咯烷二羧酸-1-(1,1-二甲基乙基)酯;
英文名称 (2S,5R)-1-[(2-methylpropan-2-yl)oxycarbonyl]-5-phenylpyrrolidine-2-carboxylic acid
CAS号 221352-49-4
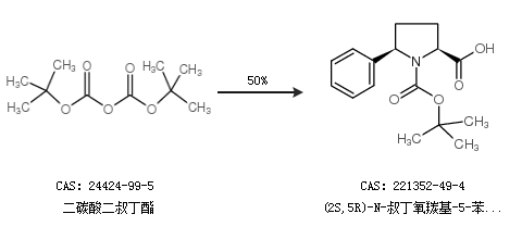
合成路线:
1.通过二碳酸二叔丁酯合成(2S,5R)-N-叔丁氧羰基-5-苯基吡咯烷-2-甲酸,收率约50%;

中华试剂网提醒:合成路线仅供参考