基本信息:
中文名称 (2S,4r)-4-boc-氨基吡咯烷-2-羧酸甲酯
英文名称 methyl (2S,4R)-4-[(2-methylpropan-2-yl)oxycarbonylamino]pyrrolidine-2-carboxylate
英文别名 BOCCHEM BC-L-E188;4-tertbutyloxycarbonylamino-L-trans-proline methyl ester;
CAS号 473806-21-2
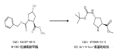
合成路线:
1.通过N-CBZ-羟脯氨酸甲酯合成(2S,4r)-4-boc-氨基吡咯烷-2-羧酸甲酯

2.通过N-Cbz-顺式-L-羟脯氨酸甲酯合成(2S,4r)-4-boc-氨基吡咯烷-2-羧酸甲酯

中华试剂网提醒:合成路线仅供参考