基本信息:
中文名称 (2S)-2-(双(叔丁氧羰基)氨基)-5-氧代戊酸甲酯
英文名称 methyl (2S)-2-[bis[(2-methylpropan-2-yl)oxycarbonyl]amino]-5-oxopentanoate
CAS号 192314-71-9
合成路线:
1.通过N-叔丁氧羰基-L-谷氨酸二甲酯合成(2S)-2-(双(叔丁氧羰基)氨基)-5-氧代戊酸甲酯

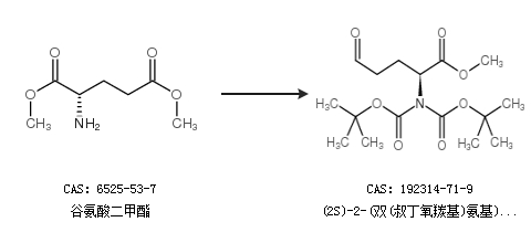
2.通过谷氨酸二甲酯合成(2S)-2-(双(叔丁氧羰基)氨基)-5-氧代戊酸甲酯

中华试剂网提醒:合成路线仅供参考