基本信息:
中文名称 (2R,4S)-4-羟基-2-(羟甲基)-1-吡咯烷羧酸叔丁酯
中文别名 (2R,4S)-4-羟基-2-(羟基甲基)吡咯烷-1-羧酸叔丁酯;
英文名称 tert-butyl (2R,4S)-4-hydroxy-2-(hydroxymethyl)pyrrolidine-1-carboxylate
英文别名 N-(tert-Butoxycarbonyl)-4-hydroxy-D-prolinol;trans-4-Hydroxy-L-prolinol,N-BOC protected;(2R,4S)-tert-butyl 4-hydroxy-2-(hydroxymethyl)pyrrolidine-1-carboxylate;(2R,4S)-4-hydroxyprolinol-1-carboxylic acid tert-butyl ester;(2R,4S)-4-Hydroxy-2-(hydroxymethyl)-1-pyrrolidinecarboxylic acid tert-butyl ester;N-(tert-butoxycarbonyl)-trans-4-hydroxy-D-prolinol;(2S,4R)-tert-butyl4-hydroxy-2-(hydroxymethyl)pyrrolidine-1-carboxylate;(2R,4S)-N-Boc-4-hydroxyprolinol;
CAS号 77450-03-4
合成路线:
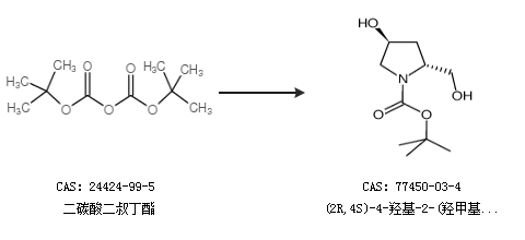
1.通过二碳酸二叔丁酯合成(2R,4S)-4-羟基-2-(羟甲基)-1-吡咯烷羧酸叔丁酯

2.通过顺式-4-羟基-D-脯氨酸盐酸盐合成(2R,4S)-4-羟基-2-(羟甲基)-1-吡咯烷羧酸叔丁酯

中华试剂网提醒:合成路线仅供参考