基本信息:
中文名称 (+)-乙基 (R)-3-羟基-3-苯丙酸盐
中文别名 (r)-3-羟基-3-苯基丙酸-(+)-乙酯;
英文名称 Ethyl (3R)-3-hydroxy-3-phenylpropanoate
英文别名 3-hydroxy-3-phenylpropionic acid ethyl ester;(+)-Ethyl (R)-3-hydroxy-3-phenylpropionate;(R)-3-hydroxy-3-phenylpropanoic acid ethyl ester;(R)-3-hydroxy-3-phenyl-propionic acid ethyl ester;
CAS号 72656-47-4
合成路线:
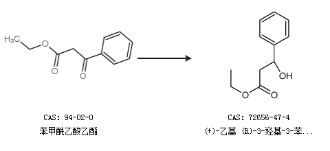
1.通过苯甲酰乙酸乙酯合成(+)-乙基 (R)-3-羟基-3-苯丙酸盐,收率约97%;

2.通过苯甲酰乙酸乙酯合成(+)-乙基 (R)-3-羟基-3-苯丙酸盐

中华试剂网提醒:合成路线仅供参考