基本信息:
中文名称 ((2r,3r)-1-羟基-3-甲基-2-戊基)氨基甲酸叔丁酯
英文名称 N-t-BOC-D-Isoleucinol
英文别名 N-Boc-L-isoleucinol;Boc-L-Ile-ol;BOC-D-ISOLEUCINOL;N-tert-butyloxycarbonyl-L-isoleucinol;
CAS号 141321-53-1
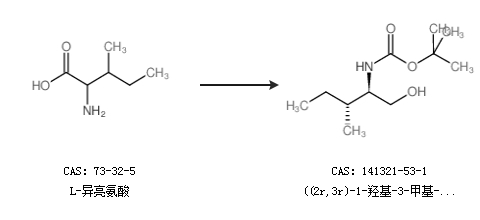
合成路线:
1.通过BOC-L-异亮氨酸合成((2r,3r)-1-羟基-3-甲基-2-戊基)氨基甲酸叔丁酯

2.通过L-异亮氨酸合成((2r,3r)-1-羟基-3-甲基-2-戊基)氨基甲酸叔丁酯

中华试剂网提醒:合成路线仅供参考