你好,欢迎来到中华试剂网 购试剂 买耗材! [请登录][注册有惊喜]

货号快速下单 | 签到送积分   | 会员中心 | 客服热线:400-021-2765

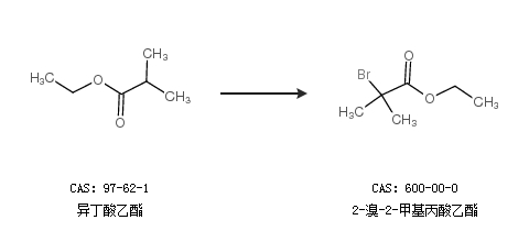
2-溴-2-甲基丙酸乙酯的合成路线

提问时间:2021/4/23 15:00:58
2-溴-2-甲基丙酸乙酯有什么方法可以合成?

1条回复:

匿名
2021/4/23 15:00:58
基本信息:
中文名称 2-溴-2-甲基丙酸乙酯
中文别名 α-溴异丁酸乙酯;2-溴代异酪酸乙酯;乙基2-溴异丁酸酯;2-溴异丁酸乙酯;Alpha-溴代异丁酸乙酯;
英文名称 Ethyl 2-Bromoisobutyrate
英文别名 Ethyl 2-bromoisobutyrate;
CAS号 600-00-0

合成路线:
1.通过乙醇和2-溴-2-甲基丙酸合成2-溴-2-甲基丙酸乙酯


2.通过异丁酸乙酯合成2-溴-2-甲基丙酸乙酯


中华试剂网提醒:合成路线仅供参考
回复