基本信息:
中文名称 特戊酰基乙酸乙酯
中文别名 特戊酰乙酸乙酯;4,4-二甲基-3-氧戊酸乙酯;4,4-二甲基-3-氧代戊酸乙酯;
英文名称 4,4-Dimethyl-3-Oxovaleric Acid Ethyl Ester
英文别名 Ethyl Pivaloylacetate;ethyl 4,4-dimethyl-3-oxopentanoate;4,4-Dimethyl-3-oxopentanoic acid ethyl ester,Ethyl 4,4-dimethyl-3-oxopentanoate;Pivaloylacetic Acid Ethyl Ester;Ethyl 4,4-dimethyl-3-oxopentanoate;4,4-Dimethyl-3-oxovaleric Acid Ethyl Ester;Ethyl 4,4-DiMethyl-3-oxovalerate;
CAS号 17094-34-7
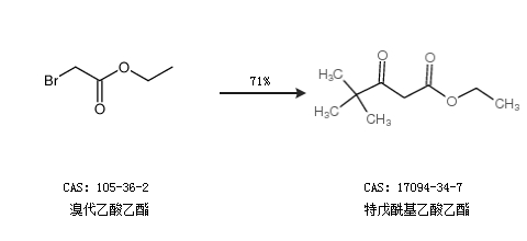
合成路线:
1.通过六甲基磷酰三胺和频哪酮合成特戊酰基乙酸乙酯,收率约93%;

2.通过溴代乙酸乙酯合成特戊酰基乙酸乙酯,收率约71%;

中华试剂网提醒:合成路线仅供参考