基本信息:
中文名称 奥洛前列素
中文别名 奥诺前列素;(-)-(1R,2R,3R)-3-羟基-2-[(E)-(3S,5S)-3-羟基-5-甲基-1-壬烯基]一Ε,5-二氧环戊烷庚酸甲酯;
英文名称 methyl 7-[(1R,2R,3R)-3-hydroxy-2-[(E,3S,5S)-3-hydroxy-5-methylnon-1-enyl]-5-oxocyclopentyl]-6-oxoheptanoate
英文别名 Ornoprostilum [Latin];6-Oxo-17(S),20-dimethyl-PGE(1)-methylester;(17S)-17,20-dimethyl-6-oxo-PGE1 methyl ester;Ornoprostilo [Spanish];ornoprostil;Ornoprostilum;Ornoprostilo;Ronoprost;
CAS号 70667-26-4
合成路线:
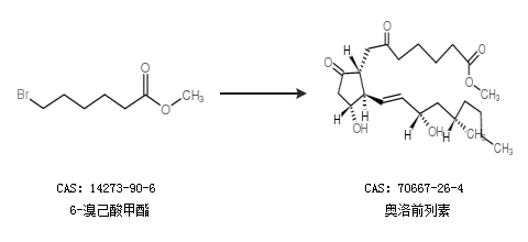
1.通过6-溴己酸甲酯合成奥洛前列素

中华试剂网提醒:合成路线仅供参考