基本信息:
中文名称 N-乙基-对-硝基苯胺
中文别名 N-乙基-4-硝基苯胺;
英文名称 N-ETHYL-4-NITROANILINE
英文别名 N-ethyl-4-nitrobenzenamine;4-nitro-N-ethylaniline;N1-ethyl-4-nitroaniline;Benzenamine,N-ethyl-4-nitro;p-nitro-phenyl-ethylamine;
CAS号 3665-80-3
合成路线:
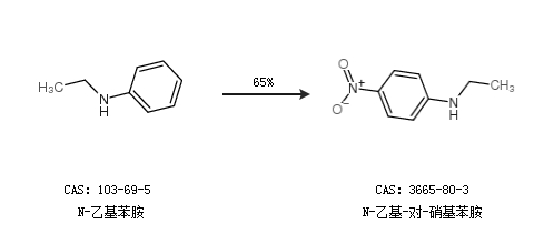
1.通过N-乙基苯胺合成N-乙基-对-硝基苯胺,收率约65%;

2.通过对二硝基苯和三乙基硼合成N-乙基-对-硝基苯胺,收率约2%;

中华试剂网提醒:合成路线仅供参考