基本信息:
中文名称 N-亚硝基-N-乙基脲
中文别名 1-乙基-1-亚硝基脲;亚硝基乙基脲;
英文名称 N-ethyl-N-nitrosourea
英文别名 Urea,1-ethyl-1-nitroso;Nitrosoethylurea;N-Ethylnitrosourea;Urea,N-ethyl-N-nitroso;N-Ethyl-N-nitroso-urea;1-ethyl-1-nitrosourea;N-Nitroso-N-ethylurea;Ethyl nitrosourea;
CAS号 759-73-9
合成路线:
1.通过乙胺和尿素合成N-亚硝基-N-乙基脲

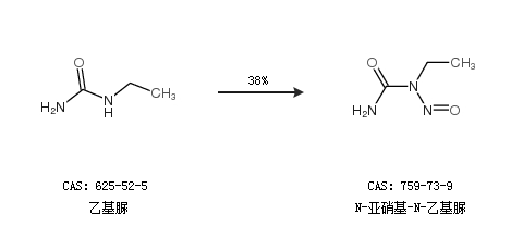
2.通过乙基脲合成N-亚硝基-N-乙基脲,收率约38%;

中华试剂网提醒:合成路线仅供参考