基本信息:
中文名称 N-Boc-4-氨基-2,6-二氯吡啶
中文别名 N-BOC-4-氨基-2,6-二氯吡啶;
英文名称 tert-Butyl (2,6-dichloropyridin-4-yl)carbamate
英文别名 tert-butyl N-(2,6-dichloropyridin-4-yl)carbamate;
CAS号 501907-61-5
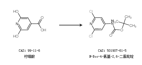
合成路线:
1.通过4-氨基-2,6-二氯吡啶合成N-Boc-4-氨基-2,6-二氯吡啶

2.通过柠嗪酸合成N-Boc-4-氨基-2,6-二氯吡啶

中华试剂网提醒:合成路线仅供参考