基本信息:
中文名称 N,N-双(2-氯乙基)草酰胺
中文别名 N,N''-草酰双(2-氯代乙胺);N,N''-双(2-氯乙基)草酰胺;
英文名称 N,N''-Bis(2-chloroethyl)oxamide
英文别名 N,N''-Oxalylbis(2-chloroethylamine);Oxalsaeure-bis-<2-chlor-ethylamid>;N,N''-Bis(2-chloroethyl)oxaMide;
CAS号 16813-43-7
合成路线:
1.通过N,N''-二(2-羟乙基)草酰胺合成N,N-双(2-氯乙基)草酰胺

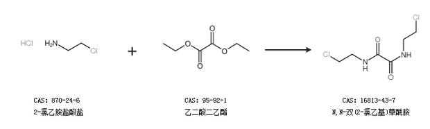
2.通过2-氯乙胺盐酸盐和乙二酸二乙酯合成N,N-双(2-氯乙基)草酰胺

中华试剂网提醒:合成路线仅供参考