基本信息:
中文名称 N-(4-((2-甲氧基乙基)(甲基)氨基)苯基)-2-苯基-5-(三氟甲基)噁唑-4-羧酰胺
英文名称 N-[4-[2-methoxyethyl(methyl)amino]phenyl]-2-phenyl-5-(trifluoromethyl)-1,3-oxazole-4-carboxamide
英文别名 2-phenyl-5-trifluoromethyloxazole-4-carboxylic acid {4-[(2-methoxyethyl)(methyl)amino]phenyl}amide;N-(4-((2-Methoxyethyl)(methyl)amino)phenyl)-2-phenyl-5-(trifluoromethyl)oxazole-4-carboxamide;
CAS号 1231243-91-6
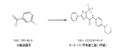
合成路线:
1.通过对氟硝基苯合成N-(4-((2-甲氧基乙基)(甲基)氨基)苯基)-2-苯基-5-(三氟甲基)噁唑-4-羧酰胺

中华试剂网提醒:合成路线仅供参考