基本信息:
中文名称 9H-咔唑-2-胺
英文名称 9H-carbazol-2-amine
英文别名 Carbazole,2-amino;Carbazol-2-ylamin;2-Amino-9H-carbazole;2-amino Carbazole;carbazol-2-ylamine;amino-2 carbazole;
CAS号 4539-51-9
合成路线:
1.通过9-乙酰基咔唑、咔唑和乙酰氯合成9H-咔唑-2-胺

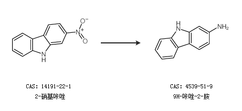
2.通过2-硝基咔唑合成9H-咔唑-2-胺

中华试剂网提醒:合成路线仅供参考