基本信息:
中文名称 8-羟基鸟苷
中文别名 8-羟基鸟嘌呤;2-氨基-9-((2R,3R,4S,5R)-3,4-二羟基-5-(羟甲基)四氢呋喃-2-基)-8-羟基-1H-嘌呤-6(9H)-酮;
英文名称 8-HYDROXYGUANOSINE
英文别名 7,8-DIHYDRO-8-OXO-GUANOSINE;8-Oxoguanosin;8-Oxo-D-guanosine;8-OXOGUANOSINE;8-Hydroxy-guanosin;8-OHG;8-oxo-7,8-dihydro-guanosine;8-Hydroxy Guanosine;7,8-dihydro-8-oxo-guanosin;8-OH-GUO;8-Oxyguanosin;8-OXO-G;
CAS号 3868-31-3
合成路线:
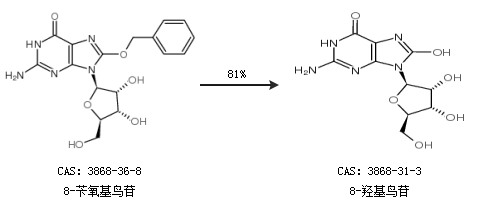
1.通过8-苄氧基鸟苷合成8-羟基鸟苷,收率约81%;

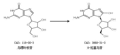
2.通过鸟嘌呤核苷合成8-羟基鸟苷

中华试剂网提醒:合成路线仅供参考