基本信息:
中文名称 7-氯-4-羟基-3-喹啉羧酸
中文别名 4-羟基-7-氯喹啉-3-羧酸;7-氯-4-羟基喹啉-3-羧酸;
英文名称 7-Chloro-4-Hydroxy Quinoline-3-Carboxylic Acid
英文别名 7-CHLORO-4-HYDROXY QUINOLINE-3-CARBOXYLIC ACID;
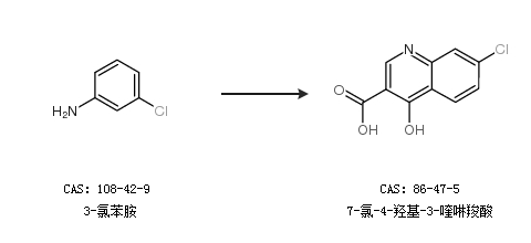
CAS号 86-47-5
合成路线:
1.通过7-氯-4-羟基-3-喹啉羧酸乙酯合成7-氯-4-羟基-3-喹啉羧酸

2.通过3-氯苯胺合成7-氯-4-羟基-3-喹啉羧酸

中华试剂网提醒:合成路线仅供参考