基本信息:
中文名称 6-氯萘-2-羧酸
英文名称 6-chloronaphthalene-2-carboxylic acid
英文别名 2-Naphthalenecarboxylic acid,6-chloro;6-chloro-2-naphthalenecarboxylic acid;6-Chlor-[2]naphthoesaeure;6-chloro-[2]naphthoic acid;
CAS号 5042-97-7
合成路线:
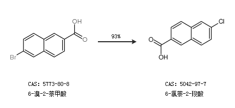
1.通过6-溴-2-萘甲酸合成6-氯萘-2-羧酸,收率约93%;

2.通过6-氨基-2-萘酸合成6-氯萘-2-羧酸

中华试剂网提醒:合成路线仅供参考