你好,欢迎来到中华试剂网 购试剂 买耗材! [请登录][注册有惊喜]

货号快速下单 | 签到送积分   | 会员中心 | 客服热线:400-021-2765

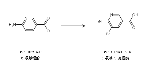
6-氨基-5-溴烟酸的合成路线

提问时间:2021/4/23 15:00:55
6-氨基-5-溴烟酸有什么方法可以合成?

1条回复:

匿名
2021/4/23 15:00:55
基本信息:
中文名称 6-氨基-5-溴烟酸
中文别名 6-氨基-5-溴-3-吡啶羧酸;5-溴-6-氨基烟酸;
英文名称 6-Amino-5-bromonicotinic acid
英文别名 6-amino-5-bromopyridine-3-carboxylic acid;
CAS号 180340-69-6

合成路线:
1.通过6-氨基烟酸合成6-氨基-5-溴烟酸


2.通过6-氨基-5-溴烟酸乙酯合成6-氨基-5-溴烟酸


中华试剂网提醒:合成路线仅供参考
回复