你好,欢迎来到中华试剂网 购试剂 买耗材! [请登录][注册有惊喜]

货号快速下单 | 签到送积分   | 会员中心 | 客服热线:400-021-2765

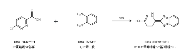
6-(1H-苯并咪唑-2-基)吡嗪-3-醇的合成路线

提问时间:2021/4/23 15:00:55
6-(1H-苯并咪唑-2-基)吡嗪-3-醇有什么方法可以合成?

1条回复:

匿名
2021/4/23 15:00:55
基本信息:
中文名称 6-(1H-苯并咪唑-2-基)吡嗪-3-醇
英文名称 6-(benzimidazol-2-ylidene)-1,2-dihydropyridazin-3-one
CAS号 300391-03-1

合成路线:
1.通过6-氯哒嗪-3-羧酸和1,2-苯二胺合成6-(1H-苯并咪唑-2-基)吡嗪-3-醇,收率约30%;


中华试剂网提醒:合成路线仅供参考
回复