基本信息:
中文名称 5-氧代戊酸甲酯
英文名称 methyl 5-oxopentanoate
英文别名 methyl 5-oxopenanoate;4-methoxycarbonyl-butanal;methyl 5-oxo-pentanoate;methyl 4-formylbutyrate;Methyl 4-formylbutanoate;Pentanoic acid,5-oxo-,methyl ester;5-oxopentanoic acid methyl ester;
CAS号 6026-86-4
合成路线:
1.通过5-羟基戊酸甲酯合成5-氧代戊酸甲酯,收率约97%;

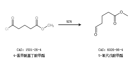
2.通过4-氯甲酰基丁酸甲酯合成5-氧代戊酸甲酯,收率约92%;

中华试剂网提醒:合成路线仅供参考