基本信息:
中文名称 5-溴-1-异丙基吡啶-2(1H)-酮
英文名称 5-Bromo-1-isopropylpyridin-2(1H)-one
英文别名 5-bromo-1-propan-2-ylpyridin-2-one;
CAS号 851087-08-6
合成路线:
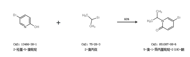
1.通过2-羟基-5-溴吡啶和2-溴丙烷合成5-溴-1-异丙基吡啶-2(1H)-酮,收率约60%;

2.通过2-碘代丙烷和2-羟基-5-溴吡啶合成5-溴-1-异丙基吡啶-2(1H)-酮,收率约17%;

中华试剂网提醒:合成路线仅供参考