基本信息:
中文名称 5-氯-2-硝基乙酰苯胺
中文别名 5-氯-2-硝基苯胺(中间体);
英文名称 N-(5-chloro-2-nitrophenyl)acetamide
英文别名 2-acetamido-4-chloro-1-nitrobenzene;N-acetyl-5-chloro-2-nitroaniline;Essigsaeure-(5-chlor-2-nitro-anilid);acetic acid-(5-chloro-2-nitro-anilide);5-Chlor-2-nitro-acetanilid;5-Chloro-2-nitroacetanilide;
CAS号 5443-33-4
合成路线:
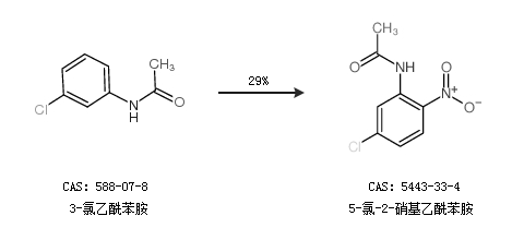
1.通过3-氯乙酰苯胺合成5-氯-2-硝基乙酰苯胺

2.通过3-氯乙酰苯胺合成5-氯-2-硝基乙酰苯胺,收率约29%;

中华试剂网提醒:合成路线仅供参考