基本信息:
中文名称 5-苄氧基吲哚-3-乙酸
中文别名 5-苄氧基吲哚-3-醋酸;
英文名称 2-(5-phenylmethoxy-1H-indol-3-yl)acetic acid
英文别名 B0626_ALDRICH;5-benzyloxyindoleacetic acid;2-(5-benzyloxy-1H-indol-3-yl)acetic acid;(5-Benzyloxy-indol-3-yl)-essigsaeure;2-[5-(phenylmethoxy)indol-3-yl]acetic acid;5-Benzyloxyindole-3-acetic acid;[5-(benzyloxy)-1h-indol-3-yl]acetic acid;(5-benzyloxy-indol-3-yl)-acetic acid;BOIAA;
CAS号 4382-53-0
合成路线:
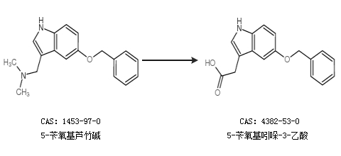
1.通过5-苄氧基芦竹碱合成5-苄氧基吲哚-3-乙酸

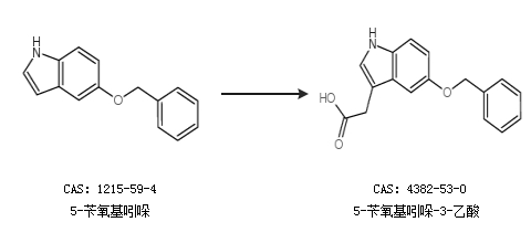
2.通过5-苄氧基吲哚合成5-苄氧基吲哚-3-乙酸

中华试剂网提醒:合成路线仅供参考