基本信息:
中文名称 4-氯-3-氰基-6-喹啉羧酸乙酯
英文名称 Ethyl 4-chloro-3-cyano-6-quinolinecarboxylate
英文别名 4-chloro-3-cyano-quinoline-6-carboxylic acid ethyl ester;4-chloro-3-cyano-phthalic acid diethyl ester;1,2-Benzenedicarboxylic acid,4-chloro-3-cyano-,1,2-diethyl ester;
CAS号 872577-51-0
合成路线:
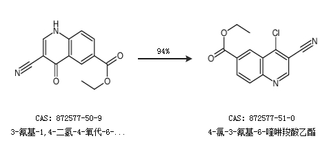
1.通过3-氰基-1,4-二氢-4-氧代-6-喹啉羧酸乙酯合成4-氯-3-氰基-6-喹啉羧酸乙酯,收率约94%;

中华试剂网提醒:合成路线仅供参考