你好,欢迎来到中华试剂网 购试剂 买耗材! [请登录][注册有惊喜]

货号快速下单 | 签到送积分   | 会员中心 | 客服热线:400-021-2765

4-氟-1H-异吲哚-1,3(2H)-二酮的合成路线

提问时间:2021/4/23 15:00:54
4-氟-1H-异吲哚-1,3(2H)-二酮有什么方法可以合成?

1条回复:

匿名
2021/4/23 15:00:54
基本信息:
中文名称 4-氟-1H-异吲哚-1,3(2H)-二酮
英文名称 4-Fluoroisoindoline-1,3-dione
英文别名 4-fluoroisoindole-1,3-dione;
CAS号 51108-29-3

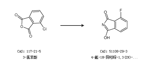
合成路线:
1.通过3-氟酞酐合成4-氟-1H-异吲哚-1,3(2H)-二酮,收率约80%;


2.通过3-氯苯酐合成4-氟-1H-异吲哚-1,3(2H)-二酮


中华试剂网提醒:合成路线仅供参考
回复