基本信息:
中文名称 4-氨基-6-溴-7H-吡咯并[2,3-d]嘧啶-5-甲腈
中文别名 4-氨基-6-溴-7氢-吡咯并[2,3-D]嘧啶-5-腈;
英文名称 4-amino-6-bromo-7H-pyrrolo[2,3-d]pyrimidine-5-carbonitrile
英文别名 4-amino-6-bromo-5-cyanopyrrolo<2,3-d>pyrimidine;
CAS号 19393-83-0
合成路线:
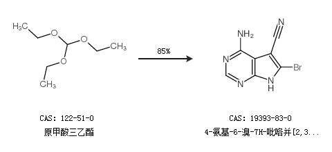
1.通过原甲酸三乙酯合成4-氨基-6-溴-7H-吡咯并[2,3-d]嘧啶-5-甲腈,收率约85%;

2.通过四氰基乙烯合成4-氨基-6-溴-7H-吡咯并[2,3-d]嘧啶-5-甲腈

中华试剂网提醒:合成路线仅供参考