基本信息:
中文名称 4,7-二氯喹啉-3-羧酸乙酯
英文名称 ETHYL 4,7-DICHLOROQUINOLINE-3-CARBOXYLATE
英文别名 4,7-Dichlor-chinolin-carbonsaeure-(3)-ethylester;4,7-dichloroquinoline-3-carboxylic acid ethyl ester;4,7-dichloro-3-quinolinecarboxylic acid ethyl ester;ethyl 4,7-dichloro-quinoline-3-carboxylate;
CAS号 19499-19-5
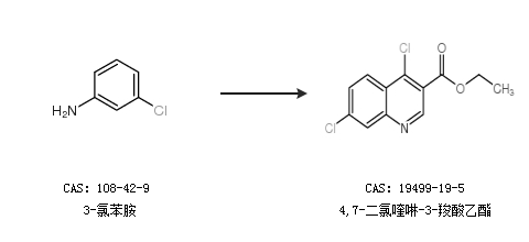
合成路线:
1.通过7-氯-4-羟基-3-喹啉羧酸乙酯合成4,7-二氯喹啉-3-羧酸乙酯

2.通过3-氯苯胺合成4,7-二氯喹啉-3-羧酸乙酯

中华试剂网提醒:合成路线仅供参考