你好,欢迎来到中华试剂网 购试剂 买耗材! [请登录][注册有惊喜]

货号快速下单 | 签到送积分   | 会员中心 | 客服热线:400-021-2765

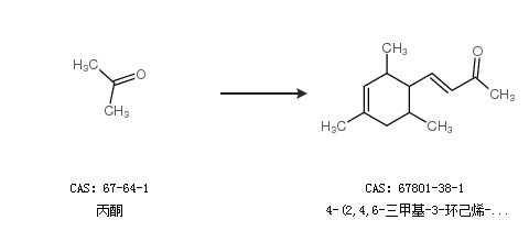
4-(2,4,6-三甲基-3-环己烯-1-基)-3-丁烯-2-酮的合成路线

提问时间:2021/4/23 15:00:54
4-(2,4,6-三甲基-3-环己烯-1-基)-3-丁烯-2-酮有什么方法可以合成?

1条回复:

匿名
2021/4/23 15:00:54
基本信息:
中文名称 4-(2,4,6-三甲基-3-环己烯-1-基)-3-丁烯-2-酮
英文名称 IRITONE
英文别名 TRIMETHYL CYCLOHEXENYL BUTENONE;Einecs 267-158-2;
CAS号 67801-38-1

合成路线:
1.通过丙酮合成4-(2,4,6-三甲基-3-环己烯-1-基)-3-丁烯-2-酮


2.通过2-甲基-2,4-戊二醇合成4-(2,4,6-三甲基-3-环己烯-1-基)-3-丁烯-2-酮


中华试剂网提醒:合成路线仅供参考
回复