基本信息:
中文名称 3-溴吡啶-5-甲醇
中文别名 3-溴-5-(羟甲基)吡啶;3-溴-5-吡啶甲醇;3-溴吡啶-5-甲;5-溴吡啶-3-甲醇;5-溴-3-吡啶甲醇;3-溴-5-吡啶甲醇(5-溴-3-吡啶甲醇);
英文名称 5-Bromo-3-pyridinemethanol
英文别名 3-Bromo-5-(hydroxymethyl)pyridine;(5-Bromopyridin-3-yl)methanol;3-Bromo-5-pyridinemethanol;5-BroMo-3-pyridineMethanol;(5-bromopyridin-3-yl)methanol;
CAS号 37669-64-0
合成路线:
1.通过5-溴吡啶-3-甲醛合成3-溴吡啶-5-甲醇,收率约97%;

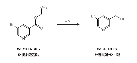
2.通过5-溴烟酸乙酯合成3-溴吡啶-5-甲醇,收率约60%;

中华试剂网提醒:合成路线仅供参考