基本信息:
中文名称 3-氯-4-羟基苯硼酸
中文别名 3-氯-4-羟基苯基硼酸;
英文名称 (3-chloro-4-hydroxyphenyl)boronic acid
英文别名 4-Borono-2-chlorophenol;3-Chloro-4-hydroxyphenylboronic acid;3-Chloro-4-hydroxyphenylboronic Acid;3-chloro-4-hydroxybenzeneboronic acid;(3-Chloro-4-hydroxyphenyl)boronic acid;
CAS号 182344-13-4
合成路线:
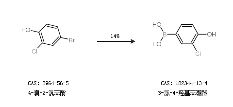
1.通过4-溴-2-氯苯酚合成3-氯-4-羟基苯硼酸,收率约14%;

中华试剂网提醒:合成路线仅供参考