基本信息:
中文名称 3-氨基-1-甲基-5H-吡啶[4,3-b]吲哚
中文别名 3-氨基-1-甲基-5H-吡啶并[4,3-b]吲哚;
英文名称 3-Amino-1-methyl-5H-pyrido(4,3-b)indole
英文别名 3-amino-1-methyl-5H-pyrido<4,3-b>indole-acetate salt;1,4-Dimethyl-5H-pyrido[4,3-b]indol-3-amine Monoacetate;acetic acid salt of 3-amino-1,4-dimethyl-5H-pyrido<4,3-b>indole;Trp-P-2 acetate;Tryptophan p 1 acetate;3-b)indole,3-amino-1,4-dimethyl-5h-pyrido(acetate;Tryptophan p 2 acetate;3-amino-1,4-dimethyl-5H-pyrido[4,3-b]indole acetate salt;3-b)indol-3-amine,1,4-dimethyl-5h-pyrido(monoacetate;3-Amino-1-methyl-5H-pyrido[4,3-b]indole acetate;3-b)indol-3-amine,1,4-dimethyl-5h-pyrido(acetate;Trp-P-1 acetate;acetic acid salt of 3-amino-1-methyl-5H-pyrido<4,3-b>indole;1-methyl-5H-pyrido[4,3-b]indol-3-ylammonium acetate;3-Amino-1-methyl-5H-pyrido<4,3-b>indol-Acetat;
CAS号 72254-58-1
合成路线:
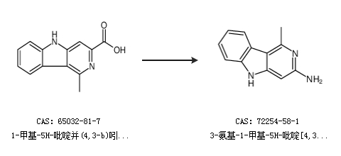
1.通过1-甲基-5H-吡啶并(4,3-b)吲哚-3-羧酸合成3-氨基-1-甲基-5H-吡啶[4,3-b]吲哚

2.通过乙酸和乙腈合成3-氨基-1-甲基-5H-吡啶[4,3-b]吲哚,收率约23%;

中华试剂网提醒:合成路线仅供参考