基本信息:
中文名称 3,7-二甲基-1,6-辛二烯
中文别名 二羟基月桂烯;
英文名称 3,7-dimethylocta-1,6-diene
英文别名 EINECS 219-433-3;1,6-Octadiene,3,7-dimethyl;Citronellene;3,7-dimethoxyocta-1,6-diene;DSSTox_CID_9234;DIHYDROMYRCENE;3,7-Dimethyl-1,6-octadiene;2,6-dimethylocta-2,7-diene;
CAS号 2436-90-0
合成路线:
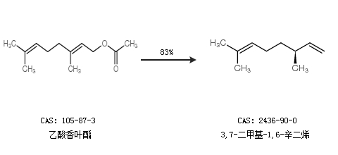
1.通过乙酸香叶酯合成3,7-二甲基-1,6-辛二烯,收率约83%;

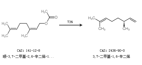
2.通过顺-3,7-二甲基-2,6-辛二烯-1-醇乙酸酯合成3,7-二甲基-1,6-辛二烯,收率约73%;

中华试剂网提醒:合成路线仅供参考