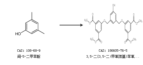
基本信息:
中文名称 3,5-二[3,5-二(甲氧羰基)苯氧甲基]苯酚
中文别名 3,5-双[3,5-双(甲氧羰基)苯氧甲基]苯酚;3,5-双[3,5-双(甲氧羧基)苯甲氧基]苯酚;
英文名称 dimethyl 5-[[3-[[3,5-bis(methoxycarbonyl)phenoxy]methyl]-5-hydroxyphenyl]methoxy]benzene-1,3-dicarboxylate
英文别名 B2865;3,5-Bis[3,5-bis(Methoxycarbonyl)phenoxyMethyl]phenol;
CAS号 186605-76-5
合成路线:
1.通过5-羟基间苯二甲酸二甲酯合成3,5-二[3,5-二(甲氧羰基)苯氧甲基]苯酚

2.通过间-5-二甲苯酚合成3,5-二[3,5-二(甲氧羰基)苯氧甲基]苯酚

中华试剂网提醒:合成路线仅供参考