基本信息:
中文名称 3,4,5,6-四氯吡啶氰
中文别名 3,4,5,6-四氯吡啶-2-甲腈;2-氰基-3,4,5,6-四氯吡啶;四氯吡啶腈;
英文名称 3,4,5,6-Tetrachloropyridine-2-carbonitrile
英文别名 3,4,5,6-Tetrachloropicolinonitrile;Picolinonitrile,tetrachloro;tetrachloropicolinonitrile;Tetrachloro-2-cyanopyridine;2-cyanotetrachloropyridine;tetrachloro-2-pyridine-carbonitrile;3,4,5,6-Tetrachloro-2-pyridinecarbonitrile;2-Cyano-3,4,5,6-tetrachloropyridine;EINECS 241-784-6;2-Pyridinecarbonitrile,3,4,5,6-tetrachloro;tetrachloro-pyridine-2-carbonitrile;
CAS号 17824-83-8
合成路线:
1.通过2,3,4,5-四氯-6-氟吡啶合成3,4,5,6-四氯吡啶氰

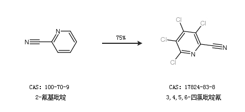
2.通过2-氰基吡啶合成3,4,5,6-四氯吡啶氰,收率约75%;

中华试剂网提醒:合成路线仅供参考