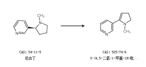
基本信息:
中文名称 3-(4,5-二氢-1-甲基-1H-吡咯-2-基)吡啶
英文名称 3-(1-methyl-2,3-dihydropyrrol-5-yl)pyridine
英文别名 3-(1-Methyl-4,5-dihydro-pyrrol-2-yl)-pyridin;N-Methylmyosmine;N''-Methyl-myosmin;3-(1-methyl-4,5-dihydro-pyrrol-2-yl)-pyridine;3-(4,5-DIHYDRO-1-METHYL-1H-PYRROL-2-YL)PYRIDINE;Dihydro Nicotyrine;
CAS号 525-74-6
合成路线:
1.通过尼古丁合成3-(4,5-二氢-1-甲基-1H-吡咯-2-基)吡啶

2.通过(+/-)-尼古丁合成3-(4,5-二氢-1-甲基-1H-吡咯-2-基)吡啶

中华试剂网提醒:合成路线仅供参考