基本信息:
中文名称 3-(4,4,5,5-四甲基-1,3,2-二噁硼烷-2-基)h-吡唑并[1,5-a]吡啶
英文名称 3-(4,4,5,5-Tetramethyl-1,3,2-dioxaborolan-2-yl)pyrazolo[1,5-a]pyridine
英文别名 3-(4,4,5,5-tetramethyl-1,3,2-dioxaborolan-2-yl)pyrazolo[1,5-a]pyridine;
CAS号 1207557-48-9
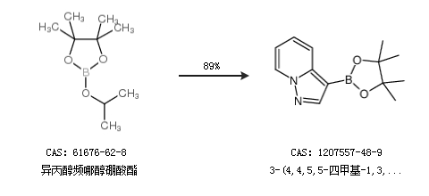
合成路线:
1.通过异丙醇频哪醇硼酸酯合成3-(4,4,5,5-四甲基-1,3,2-二噁硼烷-2-基)h-吡唑并[1,5-a]吡啶,收率约89%;

2.通过3-溴吡唑并[1,5-a]吡啶和联硼酸频那醇酯合成3-(4,4,5,5-四甲基-1,3,2-二噁硼烷-2-基)h-吡唑并[1,5-a]吡啶

中华试剂网提醒:合成路线仅供参考