基本信息:
中文名称 2-吗啉-4-基-4-苯基噻唑-5-甲酸乙酯
中文别名 2-吗啉-4-基-4-苯基噻唑-5-羧酸乙酯;
英文名称 ethyl 2-morpholin-4-yl-4-phenyl-1,3-thiazole-5-carboxylate
英文别名 2-morpholino-4-phenyl-5-ethoxycarbonylthiazole;2-morpholin-4-yl-4-phenyl-thiazole-5-carboxylic acid ethyl ester;Ethyl 2-morpholin-4-yl-4-phenylthiazole-5-carboxylate;
CAS号 55040-86-3
合成路线:
1.通过吗啉、苯甲酰基异硫氰酸酯和丁炔二酸二乙酯合成2-吗啉-4-基-4-苯基噻唑-5-甲酸乙酯,收率约51%;

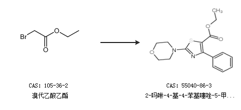
2.通过溴代乙酸乙酯合成2-吗啉-4-基-4-苯基噻唑-5-甲酸乙酯

中华试剂网提醒:合成路线仅供参考