基本信息:
中文名称 2,6-二氟吡啶-3-硼酸
中文别名 2,6-二氟-3-吡啶硼酸;
英文名称 2,6-Difluoropyridine-3-boronic acid
英文别名 (2,6-difluoropyridin-3-yl)boronic acid;2,6-Difluoropyridin-3-Ylboronicacid;2,6-Difluoropyridine-3-Boronic Acid;2,6-Difluoro-3-pyridineboronic Acid;
CAS号 136466-94-9
合成路线:
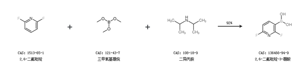
1.通过2,6-二氟吡啶、三甲氧基硼烷和二异丙胺合成2,6-二氟吡啶-3-硼酸,收率约92%;

2.通过2,6-二氟吡啶合成2,6-二氟吡啶-3-硼酸,收率约85%;

中华试剂网提醒:合成路线仅供参考