基本信息:
中文名称 2,6-二(三氟甲基)吡啶
中文别名 2,6-双(三氟甲基)吡啶;2,6-二三氟甲基吡啶;
英文名称 2,6-BIS(TRIFLUOROMETHYL)PYRIDINE
英文别名 2,6-Bis-trifluormethyl-pyridin;2,6-Bis(trifluoroMethyl)pyridine;
CAS号 455-00-5
合成路线:
1.通过2,6-二溴吡啶和(三氟甲基)三甲基硅烷合成2,6-二(三氟甲基)吡啶,收率约92%;

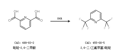
2.通过吡啶-2,6-二甲酸合成2,6-二(三氟甲基)吡啶,收率约84%;

中华试剂网提醒:合成路线仅供参考