基本信息:
中文名称 2,3,4,6-O-四特戊酰基-alpha-D-溴代吡喃葡萄糖
中文别名 2,3,4,6-四邻叔戊酰基-alpha-d-溴化吡喃葡萄糖;2,3,4,6-O-四特戊酰基-ALPHA-D-溴代吡喃葡萄糖
英文名称 2,3,4,6-Tetra-O-pivaloyl-alpha-D-glucopyranosyl bromide
英文别名 2,3,4,6-Tetra-O-Pivaloyl-alpha-D-Glucopyranosyl Bromide; Tetrakis(2,2-Dimethylpropanoate)-α-D-Glucopyranosyl Bromide; 2,3,4,6-Tetra-O-Pivaloyl-α-D-Glucopyranosyl Bromide; 2,3,3-Trimethyl-5-Chloro-3H-Indole
CAS号 81058-27-7
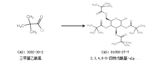
合成路线:
1.通过三甲基乙酰氯合成2,3,4,6-O-四特戊酰基-alpha-D-溴代吡喃葡萄糖

2.通过葡萄糖浆合成2,3,4,6-O-四特戊酰基-alpha-D-溴代吡喃葡萄糖

中华试剂网提醒:合成路线仅供参考