基本信息:
中文名称 2-(2,5-二氯吡啶-4-基)-1-甲基-1H-苯并咪唑
英文名称 2-(2,5-dichloropyridin-4-yl)-1-methylbenzimidazole
英文别名 QC-9631;
CAS号 1269771-37-0
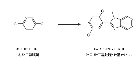
合成路线:
1.通过2,5-二氯吡啶-4-醛和N-甲基-1,2-苯二胺合成2-(2,5-二氯吡啶-4-基)-1-甲基-1H-苯并咪唑,收率约77%;

2.通过2,5-二氯吡啶合成2-(2,5-二氯吡啶-4-基)-1-甲基-1H-苯并咪唑

中华试剂网提醒:合成路线仅供参考