基本信息:
中文名称 1-异丙基吲唑-3-羧酸
英文名称 1-propan-2-ylindazole-3-carboxylic acid
英文别名 1-isopropyl-1H-indazole-3-carboxylic acid;1-isopropyl indazole 3-carboxylic acid;
CAS号 173600-14-1
合成路线:
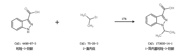
1.通过吲唑-3-羧酸和2-溴丙烷合成1-异丙基吲唑-3-羧酸,收率约17%;

2.通过1H-吲唑-3-羧酸甲酯合成1-异丙基吲唑-3-羧酸

中华试剂网提醒:合成路线仅供参考