你好,欢迎来到中华试剂网 购试剂 买耗材! [请登录][注册有惊喜]

货号快速下单 | 签到送积分   | 会员中心 | 客服热线:400-021-2765

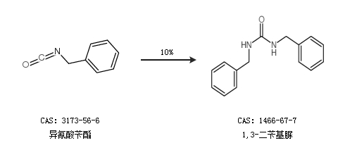
1,3-二苄基脲的合成路线

提问时间:2021/4/23 15:00:48
1,3-二苄基脲有什么方法可以合成?

1条回复:

匿名
2021/4/23 15:00:48
基本信息:
中文名称 1,3-二苄基脲
英文名称 1,3-dibenzylurea
英文别名 1,3-dibenzyl urea;N,N''-dibenzylurea;Dibenzylurea;sym-Dibenzylurea;N,N''-bis-benzylurea;
CAS号 1466-67-7

合成路线:
1.通过异氰酸苄酯合成1,3-二苄基脲,收率约10%;


2.通过苯甲胺合成1,3-二苄基脲,收率约99%;


中华试剂网提醒:合成路线仅供参考
回复