基本信息:
中文名称 1,3-二苯基-1H-吡唑-4-羧酸
英文名称 1,3-diphenylpyrazole-4-carboxylic acid
英文别名 1,3-Diphenyl-1H-pyrazol-4-carbonsaeure;1,3-Diphenylpyrazol-4-carbonsaeure;1,3-di-phenyl-1H-pyrazole-4-carboxylic acid;
CAS号 77169-12-1
合成路线:
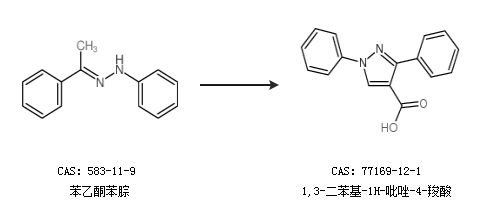
1.通过苯乙酮苯腙合成1,3-二苯基-1H-吡唑-4-羧酸

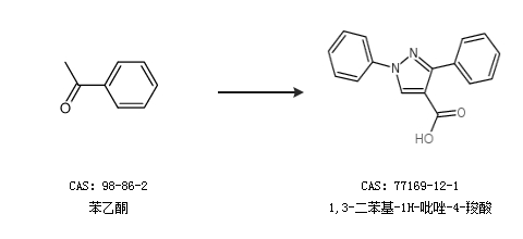
2.通过苯乙酮合成1,3-二苯基-1H-吡唑-4-羧酸

中华试剂网提醒:合成路线仅供参考