基本信息:
中文名称 1,1,1-三氟丁烯-3
英文名称 4,4,4-trifluorobut-1-ene
英文别名 4,4,4-Trifluor-but-1-en;4,4,4-trifluoro-1-butene;4,4,4-trifluorobutene;1,1,1-trifluoro-3-butene;PC2062;1-Butene,4,4,4-trifluoro;4,4,4-trifluoro-but-1-ene;trifluorobutene;1,1,1,trifluorobut-3-ene;
CAS号 1524-26-1
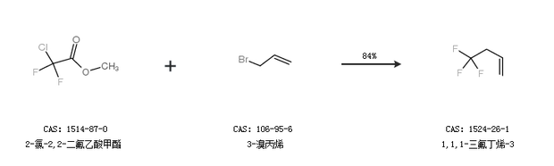
合成路线:
1.通过2-氯-2,2-二氟乙酸甲酯和3-溴丙烯合成1,1,1-三氟丁烯-3,收率约84%;

2.通过2-溴-2,2-二氟乙酸烯丙酯合成1,1,1-三氟丁烯-3,收率约87%;

中华试剂网提醒:合成路线仅供参考