基本信息:
中文名称 1-(四氢-2H-吡喃-2-基)-4-(4,4,5,5-四甲基-1,3,2-二噁硼烷-2-基)-1H-吲唑
英文名称 1-(oxan-2-yl)-4-(4,4,5,5-tetramethyl-1,3,2-dioxaborolan-2-yl)indazole
英文别名 THP-1H-indazole boronic acid pinacol ester;1-(tetrahydro-2H-pyran-2-yl)-4-(4,4,5,5-tetramethyl-1,3,2-dioxaborolan-2-yl)-1H-indazole;1-(Tetrahydropyran-2-yl)-4-(4,4,5,5-tetramethyl[1,3,2]dioxaborolan-2-yl)-1H-indazole;QC-169;
CAS号 956388-05-9
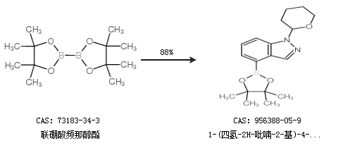
合成路线:
1.通过联硼酸频那醇酯合成1-(四氢-2H-吡喃-2-基)-4-(4,4,5,5-四甲基-1,3,2-二噁硼烷-2-基)-1H-吲唑,收率约88%;

2.通过4-氯-1-(四氢-2H-吡喃-2-基)-1H-吲唑和联硼酸频那醇酯合成1-(四氢-2H-吡喃-2-基)-4-(4,4,5,5-四甲基-1,3,2-二噁硼烷-2-基)-1H-吲唑,收率约99%;

中华试剂网提醒:合成路线仅供参考